【導讀】浙江統招專升本為各位考生整理了浙江成人高考專升本數學常用公式有哪些?的內容,希望對大家能有所幫助哦!

浙江成人高考專升本數學常用公式有哪些?
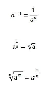
1、冪函數計算
同底數冪的乘法:底數不變,指數相加冪的乘方;
同底數冪的除法:底數不變,指數相減冪的乘方;
冪的指數乘方:等于各因數分別乘方的積商的乘方
分式乘方:分子分母分別乘方,指數不變。

2、三角函數
三角函數在求積分的時候會用到和倍角公式,sin 和 cos 用的比較多。tan的考的比較少。

以上就是關于浙江成人高考專升本數學常用公式有哪些?的全部內容,若考生還想了解更多關于浙江專升本考試的相關資訊,如浙江專升本常見問題、統招考試、統考動態、復習方法等,敬請關注浙江省專升本網。
展開全文
—— 沒找你想要的專升本資訊?預約免費咨詢 ——
你的姓名
*聯系方式
就讀年級
就讀專業
立即預約

浙江專升本聲明
(一)由于考試政策等各方面情況的不斷調整與變化,本網站所提供的考試信息僅供參考,請以權威部門公布的正式信息為準。
(二)本網站在文章內容來源出處標注為其他平臺的稿件均為轉載稿,免費轉載出于非商業性學習目的,版權歸原作者所有。如您對內容、版權等問題存在異議請于我們聯系,我們會及時處理。
文章來源于網絡,如有侵權,請聯系刪除

福利領取
成考報名
自考報名
教師資格證
專升本報名
四級報名



