2024年浙江理工大學科技與藝術學院退役大學生士兵免試專升本招生征求志愿測試公告,根據浙江省教育考試院《關于做好2024年退役大學生士兵免試專升本錄取工作的通知》(浙教試院〔2024〕23號)和我校2024年退役大學生士兵免試專升本招生(以下簡稱免試專升本招生)章程的有關政策規定和要求,我校將綜合素質測試及相關具體工作安排公告如下:
第一章:浙江理工大學科技與藝術學院2024年退役大學生士兵免試專升本招生征求志愿情況表

第二章:參加綜合測試考生范圍
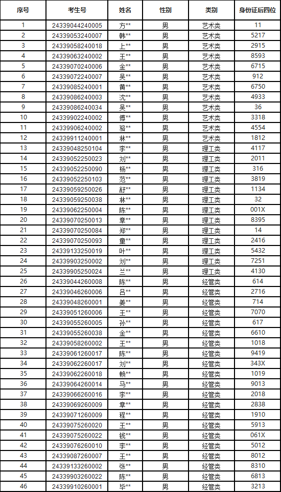
2024年退役大學生士兵免試專升本招生第三院校志愿網絡遠程綜合測試名單

第三章:初步考試安排
(一)考試形式:
線上網絡遠程綜合測試
(二)考試時間:
2024年4月17日(周三)8:45(考生進行綜合測試平臺模擬演練并進行綜合測試;預測時間:4月16日下午15:00)
(三)特別強調:
應參加而未按要求參加本輪綜合測試的考生視為放棄報考資格,不能進入本輪后續錄取環節(免綜合測試的考生除外)
(四)信息發布:
為及時發布信息,請相關考生及時加釘釘群“2024年科藝學院退役大學生士兵免試專升本通知群(備注:免試專升本征求志愿校測考生+姓名)
附件:https://zs.ky.zstu.edu.cn/info/1003/1624.htm
附件【附件1:浙江理工大學科技與藝術學院個人誠信考試承諾書.docx】
附件【附件2:浙江理工大學科技與藝術學院2024年免試專升本招生自愿放棄聲明書.doc】
浙江專升本院校專業不知道怎么選?報名報考問題不知道怎么解答?落榜沒考上怎么辦?【浙江專升本報名考試指導】的專業老師為你解答!
各位考生可可以和【浙江專升本考生交流群】里面的老師開展一對一交流,幫助考生攻克基礎知識薄弱、攻堅考試重點難點等困難,得到專屬于自己的解答。敬請關注我們吧!
以上就是關于“2024年浙江理工大學科技與藝術學院退役大學生士兵免試專升本招生征求志愿測試公告”的全部內容,考生如果想獲得更多關于常見問題、相關資訊,如考試動態、招生簡章、統考動態、浙江專升本院校、歷年真題、考試大綱、專升本等相關信息,敬請關注浙江專升本網(http://m.205760.com/)

浙江專升本聲明
(一)由于考試政策等各方面情況的不斷調整與變化,本網站所提供的考試信息僅供參考,請以權威部門公布的正式信息為準。
(二)本網站在文章內容來源出處標注為其他平臺的稿件均為轉載稿,免費轉載出于非商業性學習目的,版權歸原作者所有。如您對內容、版權等問題存在異議請于我們聯系,我們會及時處理。
文章來源于網絡,如有侵權,請聯系刪除

福利領取
成考報名
自考報名
教師資格證
專升本報名
四級報名



